0755-85588800 400-822-3455
手机华人
资料索取
在线评估
首 页
投资移民
出国留学
海外房产
签证旅游
关于华人
联系我们
美国
加拿大
澳大利亚
新西兰
葡萄牙
西班牙
意大利
希腊
塞浦路斯
匈牙利
安提瓜
尼维斯
瓦努阿图
马耳他
新加坡
香港
美国投资移民成功案例
当前位置:
主页
>
投资移民
>
美国
>
美国投资移民成功案例
>
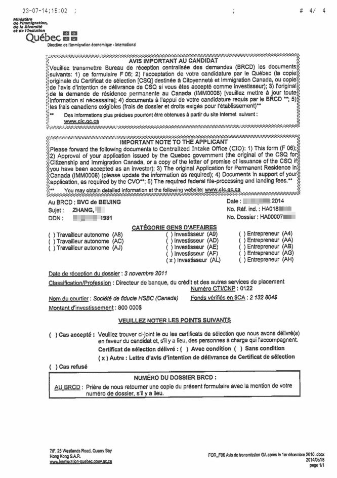
恭喜张先生获得加拿大魁省投资移民CSQ
发布时间:
2020-10-25 20:05
作者:
admin
阅读:
分享到:
留言咨询
姓名:
手机:
城市:
北京
上海
广州
深圳
佛山
顺德
江苏
浙江
青岛
重庆
四川
陕西
珠海
留言:
房产资讯
美国亚特兰大独栋别墅
最新资讯
移民首选国-“加拿大”
加拿大移民部将加速配偶申请的审核速度
加拿大移民部已颁发5.6万份留学学习许可
2019年全球国际移民数量接近2.72亿
美国投资移民最新动向
加拿大扩大中国公民过境免签
澳洲重大投资者移民已重新接收申请
2015年澳洲投资移民新政
关注微信
关注华人微信
华人全球
华人深圳
深圳市福田区深南中路北方大厦1218室
0755-85588800
华人上海
上海市徐汇区虹桥路355号5楼
15821332761
华人多伦多
229 Creek Path Ave. Oakville, ON, Canada 13590432001
13590432001
华人温尼伯
175 Shoreline Drive, Winnipeg Manitoba Canada 204-890-3181
204-890-3181
友情链接
加拿大移民局
美国移民局
澳大利亚移民局
新西兰移民局
葡萄牙移民局
西班牙移民局
X